热门关键词: 阿特拉斯空压机配件 英格索兰空压机配件 寿力空压机配件 英国格素空压机配件,博莱特空压机配件,柳泰克空压机配件,等其他品牌空压机配件
专注品牌空压机配件15年+
我们只做原装正品,假一赔十!
全天服务热线
182-0199-8582
化纤行业专用低压永磁变频螺杆机
型号:DSHPML-132-3
功率:132KW
马力:180HP
立即咨询
产品详情

德斯兰为化纤加弹行业定制低压螺杆式空气压缩机,它脉冲小,气源稳定,能有效降低加弹次品率,相比活塞机更节能,*低压力可达1.5bar。针对加弹行业,保证长时间连续运转。使用德斯兰低压螺杆机,能让您在同等气量的情况下,获得非常惊人省电效果。

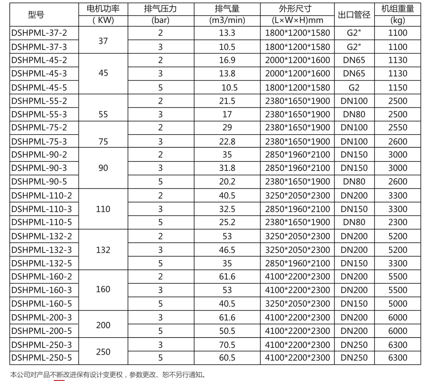
产品参数

1752818391283579.jpg

150-0020-8383